1月30日氮磷及复合肥竞拍交易预告2026年01月29日18:43分享到根据《国
1月30日氮磷及复合肥竞拍交易预告
2026年01月29日 18:43
分享到
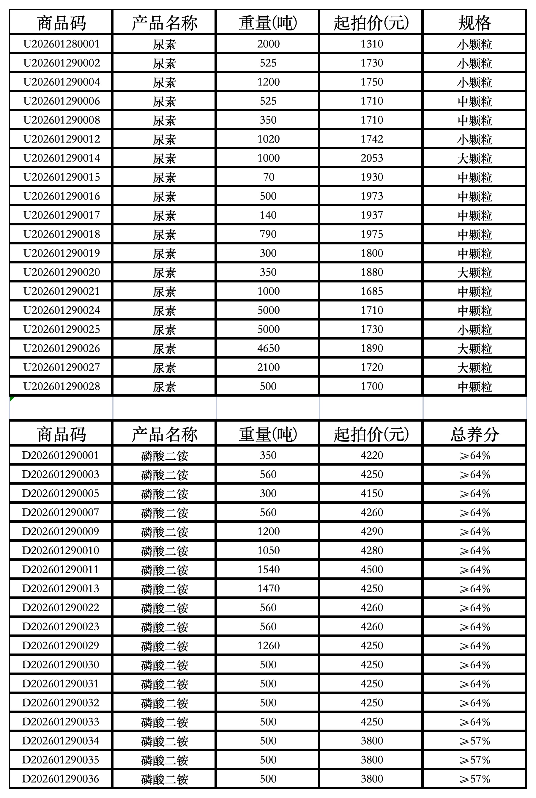
根据《国家化肥商业储备氮磷及复合肥建储采购竞拍交易办法》规定,现将1月30日氮磷及复合肥竞拍部分交易信息预告如下:



具体交易信息以交易当天系统内展示的数据为准。
中国农业生产资料流通协会
全国棉花交易市场
2026年1月29日
郑重声明:用户在财富号/股吧/博客等社区发表的所有信息(包括但不限于文字、视频、音频、数据及图表)仅代表个人观点,与本网站立场无关,不对您构成任何投资建议,据此操作风险自担。请勿相信代客理财、免费荐股和炒股培训等宣传内容,远离非法证券活动。请勿添加发言用户的手机号码、公众号、微博、微信及QQ等信息,谨防上当受骗!
评论该主题
帖子不见了!怎么办?作者:您目前是匿名发表 登录 | 5秒注册 作者:,欢迎留言 退出发表新主题
温馨提示: 1.根据《证券法》规定,禁止编造、传播虚假信息或者误导性信息,扰乱证券市场;2.用户在本社区发表的所有资料、言论等仅代表个人观点,与本网站立场无关,不对您构成任何投资建议。用户应基于自己的独立判断,自行决定证券投资并承担相应风险。《东方财富社区管理规定》