2026年除夕,阿里巴巴正式开源全新一代大模型千问Qwen3.5-Plus,被AI爱好者誉为“最强源神”。与前几代千问大语言模型相比,Qwen3.5实现了从纯文本模型到原生多模态模型的代际跨越。
大年初一凌晨,阿里巴巴旗下千问App发布的数据显示:春节活动期间,全国超1.3亿人首次体验AI购物,累计发出50亿次“千问帮我”,千问一跃成为国民级AI助手。
从顶级大模型开源,到全生态落地应用,阿里AI双线爆发。这个春节,阿里用实际行动证明:AI既能奔赴星辰大海,也能守护人间烟火。
千问:跻身国民级AI助手
如何提升AI应用的C端商业化能力,已是全球科技公司共同面对的新命题。
如果说去年春节是DeepSeek凭借深度思考出圈,那么今年春节,便是千问以“AI办事”强势破圈——“千问帮我”正成为AI时代的用户新习惯。
2月6日,千问启动春节活动。期间全国超1.3亿人首次使用AI购物,用户说了50亿次“千问帮我”,千问正式跻身国民级AI助手行列。千问在全球范围内首次完成AI Agent大规模真实场景任务执行与商业化验证,首次实现“指令”与“交易”的深度绑定,正在重塑用户使用互联网的方式。这不仅让AI真正走向全民普惠,更成为AI发展史上的重要里程碑。

QuestMobile最新数据显示,千问DAU(日活跃用户数)达7352万,远超元宝的1828万,逼近豆包的7871万。这意味着,千问仅用不到两个月,便追平了行业头部产品三年积累的用户规模。
阿里数据显示,春节前两天,用户通过AI购买门票订单环比增长22倍,AI预订机票等交通票务订单量增长超7倍;春节档期间,AI电影票订单环比激增372倍,其中三四线城市AI订单量暴涨782倍。
亮眼的是,近一半AI订单来自县域市场。一句指令即可完成操作的便捷体验,让近400万60岁以上用户首次尝试AI购物。
依托阿里生态,千问可一站式调度淘宝、支付宝、淘宝闪购、飞猪、高德、大麦等全平台服务。未来还将陆续上线AI打车、手机话费充值、高德扫街榜团购等功能。
剑指通用人工智能
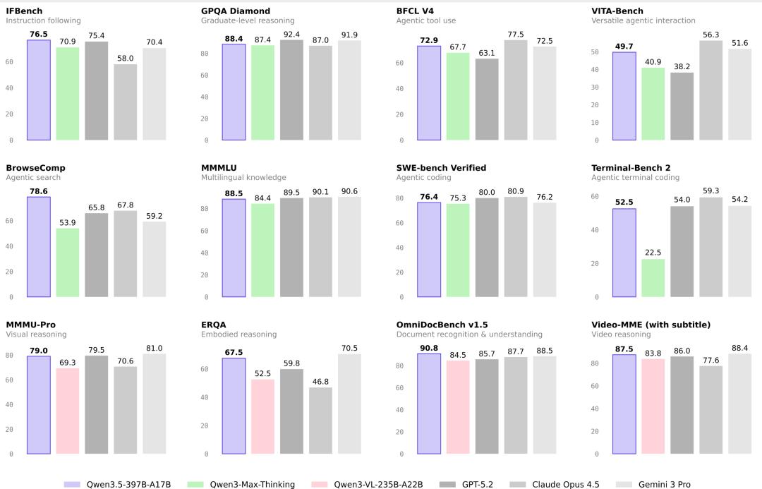
除夕当天,阿里开源新一代大模型Qwen3.5-Plus,性能对标Gemini-3 Pro,登顶全球最强开源大模型。Qwen3.5实现底层架构全面革新,此次发布的Plus版本总参数3970亿,激活参数仅170亿,以“小参数”实现“大性能”,表现超越万亿参数的Qwen3-Max。

阿里开源千问Qwen3.5-Plus,性能媲美Gemini-3 Pro
从Qwen2.5、Qwen3到Qwen3.5,过去两年,开源大模型关键能力的多次天花板突破,均由千问实现。目前千问全球下载量突破10亿次,单月下载量超第2至8名总和,开发者基于千问衍生的模型超20万,是公认的全球第一开源大模型。
业内评价,千问在这个春节档,亮出了真正的杀手锏。
与前代纯文本模型不同,Qwen3.5完成从文本到原生多模态的代际跃迁。模型大幅扩充中英文、多语言、STEM及推理等训练数据,在推理、编程、Agent智能体等全维度基准评估中领跑同级开源模型,多项指标对标甚至超越GPT-5.2、Gemini-3 Pro等闭源头部产品。
Qwen3.5只是阿里多模态布局的开端,未来将聚焦All in one全模态,全力冲刺AGI(通用人工智能)。目前,阿里已在多模态理解与生成领域位居世界前列。
一周前,千问发布集图像生成与编辑于一体的Qwen-image-2.0,在权威榜单AI Arena位列全球前三,被誉为国产“Nano Banana Pro”。如今Qwen3.5再获视觉理解能力突破,向全模态更进一步。
在行业观察人士看来,模型与多模态两条路线并非孤立推进,而是为全模态技术蓄力。阿里旨在让大模型从单一任务处理,升级为具备文本、视觉、语音全场景理解与生成能力,真正实现“看得懂、听得清、会表达、能执行”,最终迈向通用人工智能。
巨型航母级科技公司初具雏形
Qwen3.5-Plus API价格低至每百万token 0.8元,同等性能下仅为Gemini-3 Pro的1/18,背后是阿里在AI算力与模型层面的深度协同创新。
同时,阿里拥有国内最完善、最丰富的生态与履约服务能力,覆盖吃喝玩乐、出行住宿全场景。阿里生态因AI再度深度融合,为用户带来AI时代的极致便利。
AI双线进击的背后,是阿里的厚积薄发。“通云哥”——通义实验室、阿里云、平头哥三大板块组成的黄金三角,让阿里真正掌握AI核心算力定义权。

1月22日,多家媒体报道,阿里巴巴已计划支持芯片公司平头哥未来独立上市。业内认为,平头哥是阿里布局AI的关键先手,芯片、云、模型共同构成了阿里AI长期发展的“黑土地”。
随着“通云哥”黄金三角全面成型,阿里巴巴成为全球极少数,也是中国唯一一家实现“自研AI芯片+世界级云平台+世界级大模型”全栈垂直整合的科技巨头。
在全球AI竞赛中,唯有垂直整合才能实现极致优化,这也是阿里打造“通云哥”的核心逻辑。
这一布局并非一蹴而就:早在2017年云栖大会,阿里便宣布成立达摩院,布局芯片与前沿科技;2018年平头哥成立,同步启动大模型研发。在AI爆发前夜,阿里已在底层技术领域进行饱和式投入。
谷歌以“Gemini模型+TPU芯片+云平台”验证了全栈整合的价值,而阿里正在超越这一模式。凭借自研芯片,阿里可针对千问模型架构定制“真武”芯片,并通过“最懂芯片的云”实现资源最优调度。阿里云构建的不再只是传统云平台,而是一台软硬一体的“AI超级计算机”。
坐拥全球领先云基础设施、自主研发高端AI芯片、全球最强开源大模型,未来的阿里巴巴,将成为搭建AI时代“水电煤”的巨型航母级科技公司。