【大河财立方记者陈薇】2月16日除夕当天,阿里巴巴开源全新一代大模型千问Qwen3.5-Plus,其实现了底层模型架构的全面革新,此次发布的Qwen3.5-Plus版本总参数为3970亿,激活仅170亿,性能超过万亿参数的Qwen3-Max模型,部署显存占用降低60%,推理效率大幅提升。从价格上看,Qwen3.5-Plus的API价格每百万Token低至0.8元,仅为Gemini 3 Pro的1/18。

阿里开源千问Qwen3.5-Plus,性能媲美Gemini 3 Pro
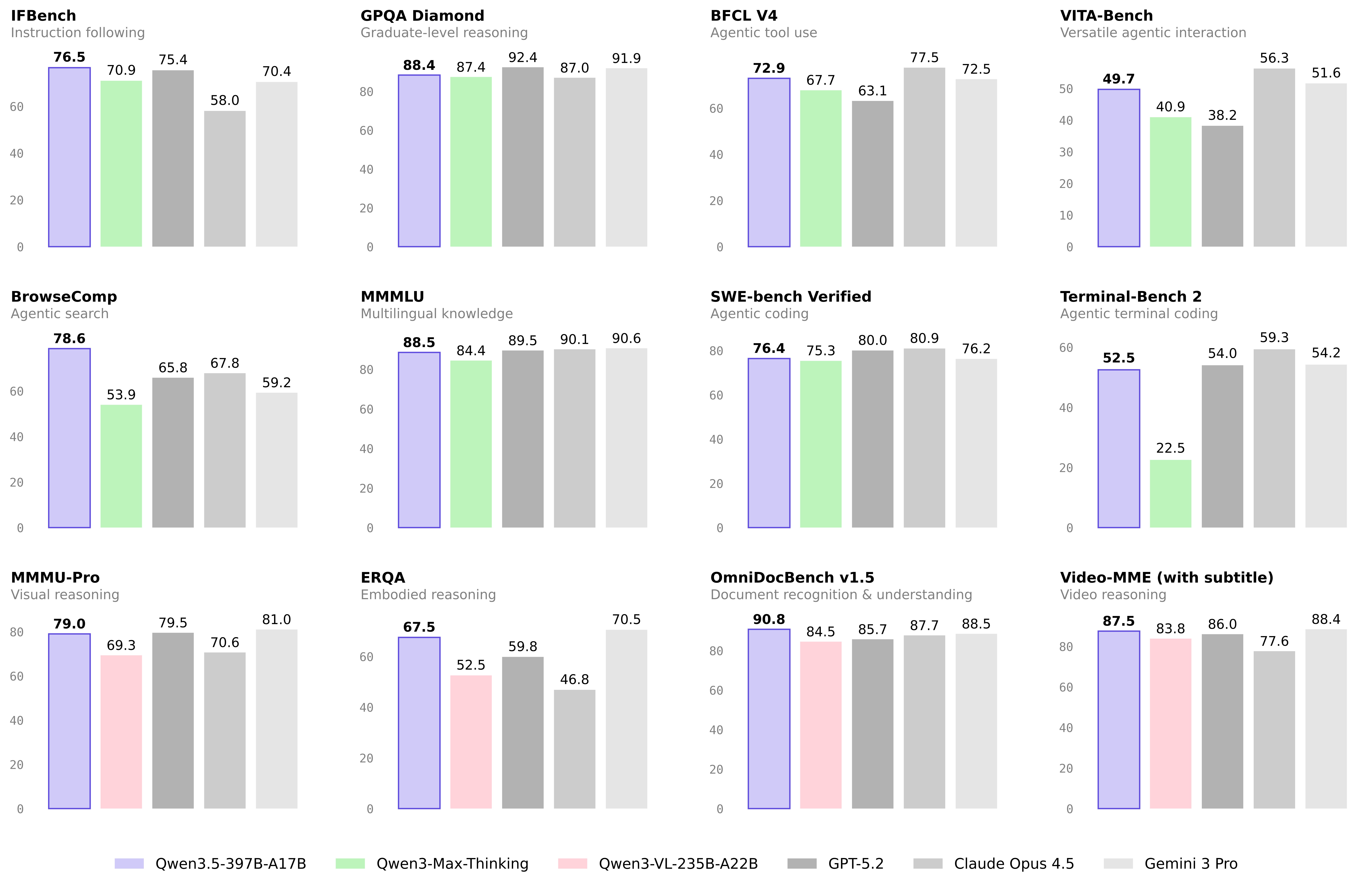
与前几代的千问大语言模型不同,千问3.5实现了从纯文本模型到原生多模态模型的代际跃迁。千问3预训练在纯文本上进行,而千问3.5则基于视觉和文本混合上预训练,并大幅新增中英文、多语言、STEM和推理等数据,让张开“眼睛”的大模型学会了更密集的世界知识和推理逻辑,以不到40%的参数量获得超万亿的Qwen3-Max基座模型的顶尖性能,在推理、编程、Agent智能体等全方位基准评估中均表现优异。在通用Agent评测BFCL-V4、搜索Agent评测Browsecomp等基准中,千问3.5表现均超越Gemini 3 Pro、GPT-5.2。
视觉能力的提升,让千问3.5实现了从Agent框架到Agent应用的突破。千问3.5可自主操作手机与电脑,高效完成日常任务,在移动端支持更多主流App与指令,在PC端可处理更复杂的多步骤操作,如跨应用数据整理、自动化流程执行等,显著提升操作效率。
1月15日,千问App发布全球首个消费级AI购物Agent。春节期间,千问AI购物Agent仅6天时间帮用户完成了1.2亿笔订单,首次实现大规模真实世界任务执行和商业化验证。能力大幅增强的千问3.5,将进一步打开千问APP在工作和生活中帮人办事的想象空间。
据悉,千问APP、PC端已接入Qwen3.5-Plus模型。开发者可在魔搭社区和HuggingFace下载新模型,或通过阿里云百炼直接获取API服务。阿里很快将继续开源不同尺寸、不同功能的千问3.5系列模型,性能更强的旗舰模型Qwen3.5-Max不久也将发布。