阿里千问模型加入AI大模型“春节档”。2月16日除夕当天,阿里巴巴开源全新一代大模型千问Qwen3.5-Plus,性能媲美Gemini 3 Pro,登顶全球最强开源模型。千问3.5实现了底层模型架构的全面革新,Qwen3.5-Plus版本总参数为3970亿,激活仅170亿,以小胜大,性能超过万亿参数的Qwen3-Max模型,部署显存占用降低60%,推理效率大幅提升,最大推理吞吐量可提升至19倍。Qwen3.5-Plus的API价格每百万token低至0.8元,仅为Gemini 3 Pro的1/18。另外,千问性能更强的旗舰模型Qwen3.5-Max不久也将发布。
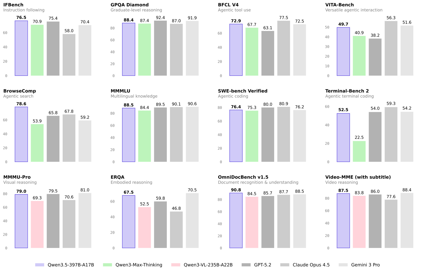
与前几代的千问大语言模型不同,千问3.5实现了从纯文本模型到原生多模态模型的代际跃迁。千问3预训练在纯文本Tokens上进行,而千问3.5则基于视觉和文本混合token上预训练,并大幅新增中英文、多语言、STEM和推理等数据,让张开“眼睛”的大模型学会了更密集的世界知识和推理逻辑,以不到40%的参数量获得超万亿的Qwen3-Max基座模型的顶尖性能,在推理、编程、Agent智能体等全方位基准评估中均表现优异。

阿里开源千问Qwen3.5-Plus,性能媲美Gemini 3 Pro
原生多模态训练也让千问3.5的视觉能力飞跃:在多模态推理(MathVison)、通用视觉问答VQA(RealWorldQA)、文本识别和文件理解(CC_OCR)、空间智能(RefCOCO-avg)、视频理解(MLVU)等众多权威评测中,千问3.5均斩获最佳性能。
据了解,千问3.5性能跃升的背后,是对Transformer经典架构的重大创新突破。千问团队自研的门控技术成果,曾斩获全球AI顶会2025 NeurIPS最佳论文,该前沿技术已融入千问3.5创新的混合架构中,团队结合线性注意力机制与稀疏混合专家MoE模型架构,实现了397B总参数激活仅17B的极致模型效率;同时,千问3.5通过训练稳定优化以及多 token 预测等系列技术,Qwen3.5性能与Qwen3-Max模型持平,并进一步提升了推理效率:在常用的32K上下文场景中,千问3.5推理吞吐量可提升8.6倍;在256K超长上下文情况下,Qwen3.5推理吞吐量最大提升至19倍,推理效率大幅提升。

千问3.5推理效率大幅提升,最大吞吐量提升至19倍。
千问3.5的原生多模态训练,是在阿里云AI基础设施上高效完成的。通过系列基础技术创新,千问3.5在文本、图像、视频等混合数据训练吞吐量,几近100%持平纯文本基座模型训练,大举降低了原生多模态训练的难度门槛;同时,通过设计精巧的FP8、FP32精度应用策略,在训练稳定扩展到数十万亿个token时,激活内存减少约50% ,训练还能提速10% ,进一步节约了模型训练成本、提升了训练效率。
基于顶级视觉能力,千问3.5也实现了从Agent框架到Agent应用的新突破。千问3.5可自主操作手机与电脑,高效完成日常任务,在移动端支持更多主流APP与指令,在PC端可处理更复杂的多步骤操作,如跨应用数据整理、自动化流程执行等,显著提升操作效率。同时,千问团队构建了一个可扩展的Agent异步强化学习框架,端到端可加速3到5倍,并将插件式智能体Agent支持扩展至百万级规模。
连日来,国产大模型集体上新抢占“AI春节档”。2月14日,字节跳动宣布推出豆包大模型2.0系列。豆包2.0针对大规模生产环境的使用需求进行系统性优化,旨在更好地完成真实世界的复杂任务。2月13日,MiniMax上线新一代文本模型MiniMax M2.5后,官宣该模型全球开源支持本地化部署。
更早前,字节跳动发布Seedance2.0,因为其逼真画面、电影级运镜在近日引发热议。阿里也正式发布新一代图像生成及编辑模型Qwen-Image-2.0。DeepSeek App更新新版本至1.7.4版本,网页端也同步进行了更新。面壁智能发布并开源了新一代全模态旗舰模型 MiniCPM-o 4.5。